Specifications Manual for Joint Commission National Quality Measures (v2026A1)
Posted: 10/20/2025

Release Notes:
Measure Information Form
Version 2026A1

Measure Information Form

***Effective January 1, 2026, this measure is removed from ORYX, still in use in Certification***
Measure Set: Perinatal Care (PC)

Set Measure ID: PC-01

Performance Measure Name: Elective Delivery

Description: Patients with elective vaginal deliveries or elective cesarean births at >= 37 and < 39 weeks of gestation completed

Rationale: For almost 3 decades, the American College of Obstetricians and Gynecologists (ACOG) and the American Academy of Pediatrics (AAP) have had in place a standard requiring 39 completed weeks gestation prior to ELECTIVE delivery, either vaginal or operative (ACOG, 2021). A survey conducted in 2007 of almost 20,000 births in HCA hospitals throughout the U.S. carried out in conjunction with the March of Dimes at the request of ACOG revealed that almost 1/3 of all babies delivered in the United States are electively delivered with 5% of all deliveries in the U.S. delivered in a manner violating ACOG/AAP guidelines. Most of these are for convenience, and result in significant short term neonatal morbidity (neonatal intensive care unit admission rates of 13- 21%) (Clark et al., 2009).

According to Glantz (2005), compared to spontaneous labor, elective inductions result in more cesarean births and longer maternal length of stay. Interventions that decrease the chance of a cesarean delivery include avoiding non–medically indicated induction of labor prior to 39 weeks gestation (Quinlan and Murphy, 2015). Repeat elective cesarean births before 39 weeks gestation also result in higher rates of adverse respiratory outcomes, mechanical ventilation, sepsis and hypoglycemia for the newborns (Tita et al., 2009).

Type Of Measure: Process

Improvement Noted As: Decrease in the rate

Numerator Statement: Patients with elective deliveries
Included Populations: ICD-10-PCS Principal Procedure Code or ICD-10-PCS Other Procedure Codes for one or more of the following:
  • Medical induction of labor as defined in Appendix A, Table 11.05 Medical Induction of Labor while not in Labor prior to the procedure
  • Cesarean birth as defined in Appendix A, Table 11.06 Cesarean Birth and all of the following:
    • not in Labor
    • no history of a Prior Uterine Surgery

Excluded Populations: None

Data Elements:

Denominator Statement: Patients delivering newborns with >= 37 and < 39 weeks of gestation completed
Included Populations:
  • ICD-10-PCS Principal Procedure Code or ICD-10-PCS Other Procedure Codes for delivery as defined in Appendix A, Table 11.01.1 Delivery

  • ICD-10-CM Principal Diagnosis Code or ICD-10-CM Other Diagnosis Codes for planned cesarean birth in labor as defined in Appendix A, Table 11.06.1 Planned Cesarean Birth in Labor

Excluded Populations:
  • ICD-10-CM Principal Diagnosis Code or ICD-10-CM Other Diagnosis Codes for conditions possibly justifying elective delivery prior to 39 weeks gestation as defined in Appendix A, Table 11.07 Conditions Possibly Justifying Elective Delivery
  • History of prior stillbirth
  • Less than 8 years of age
  • Greater than or equal to 65 years of age
  • Gestational Age < 37 or >= 39 weeks or UTD

Data Elements:

Risk Adjustment: No.

Data Collection Approach: Retrospective data sources for required data elements include administrative data and medical records.

Data Accuracy: Variation may exist in the assignment of ICD-10 codes; therefore, coding practices may require evaluation to ensure consistency.

Measure Analysis Suggestions: In order to identify areas for improvement, hospitals may want to review results based on specific ICD-10 codes or patient populations. Data could be analyzed further to determine specific patterns or trends to help reduce elective deliveries.

Sampling: Yes. For additional information see the Sampling Section.

Data Reported As: Aggregate rate generated from count data reported as a proportion.

Selected References:
  • Borders, E.B., Birsner, M.L., Gyanmfi-Bannerbaum, C. (2019). Avoidance of nonmedically indicated early-term deliveries and associated neonatal morbidities. American College of Obstetricians and Gynecologists Committee Opinion, 133:2, e156-163.
  • Clark, S., Miller, D., Belfort, M., Dildy, G., Frye, D., & Meyers, J. (2009). Neonatal and maternal outcomes associated with elective delivery. [Electronic Version]. Am J Obstet Gynecol. 200:156.e1-156.e4.
  • Glantz, J. (Apr.2005). Elective induction vs. spontaneous labor associations and outcomes. [Electronic Version]. J Reprod Med. 50(4):235-40.
  • Kilpatrick, S. J., Papile, L.-A., & Macones, G. A. (Eds.). (2017). Guidelines for perinatal care (8th ed.). American Academy of Pediatrics.
  • Tita, A., Landon, M., Spong, C., Lai, Y., Leveno, K., Varner, M, et al. (2009). Timing of elective repeat cesarean delivery at term and neonatal outcomes. [Electronic Version]. NEJM. 360:2, 111-120.
  • Quinlan, J. D., & Murphy, N. J. (2015). Cesarean delivery: counseling issues and complication management. American family physician, 91(3), 178–184.
  • ACOG Committee Opinion, No. 831: Medically indicated late-preterm and early-term deliveries. (2021, July). Obstetrics and Gynecology, 138(1), e35-e39. https://doi.org/10.1097/AOG.0000000000004447

Original Performance Measure Source / Developer:
Hospital Corporation of America-Women's and Children's Clinical Services

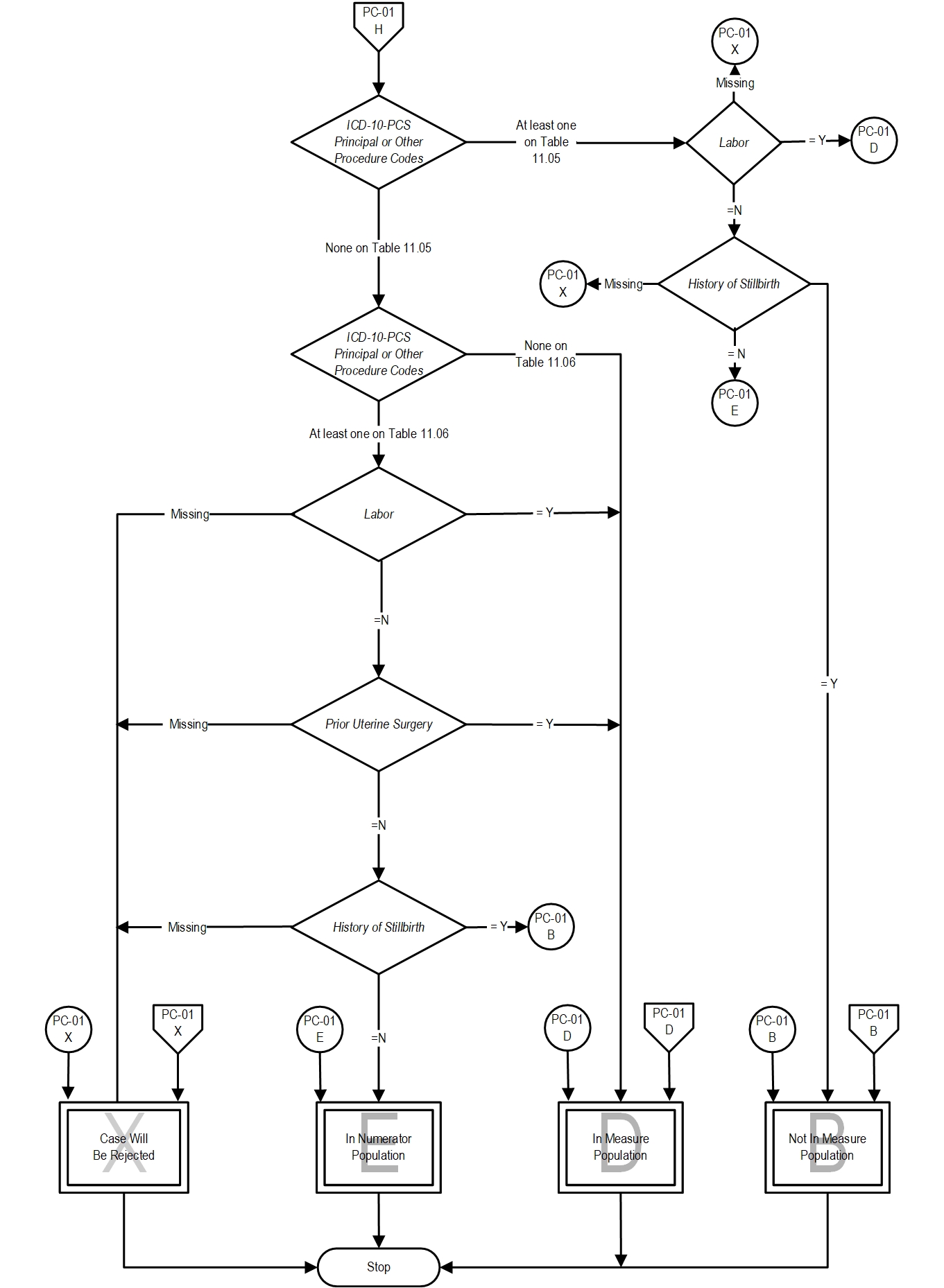
Measure Algorithm:
Graphic depiction of the Measure Algorithm. Refer to the Algorithm Narrative for each detailed step. Graphic depiction of the Measure Algorithm. Refer to the Algorithm Narrative for each detailed step.

PC-01: Algorithm Narrative

PC-01: Elective Delivery
Numerator: Patients with elective deliveries
Denominator: Patients delivering newborns with >= 37 and < 39 weeks of gestation completed

Variable Key: Patient Age, Newborn Patient Age at Admission, Initial Patient Population Reject Case Flag and Length of Stay

1. Start processing. Run cases, which are included in the PC-Mother Initial Patient Population and pass the edits defined in the Clinical Data Processing Flow, through this measure.

2. Check ICD-10-CM Principal or Other Diagnosis Codes
  1. If at least one of the ICD-10-CM Principal or Other Diagnosis Codes is on Table 11.07, the case will proceed to a Measure Category Assignment of B and will not be in the Measure Population. Stop processing.
  2. If all ICD-10-CM Principal and Other Diagnosis Codes are missing or none of them on Table 11.07, continue processing and proceed to check Gestational Age.
3. Check Gestational Age
  1. If Gestational Age is missing, the case will proceed to a Measure Category Assignment of X and will be rejected. Stop processing.
  2. If Gestational Age equals or greater than 37 and Less than 39, the case will proceed to check ICD-10-CM Principal or Other Diagnosis Codes
  3. If Gestational Age Less than 37 or equals or greater than 39 or is UTD, the case will proceed to a Measure Category Assignment of B and will not be in the Measure Population. Stop processing.
4. Check ICD-10-CM Principal or Other Diagnosis Codes
  1. If at least one of the ICD-10-CM Principal or Other Diagnosis Codes is on Table 11.06.1, the case will proceed to a Measure Category Assignment of D and will be in the population. Stop processing.
  2. If all ICD-10-CM Principal and Other Diagnosis Codes are missing or none of them on Table 11.06.1, continue processing and proceed to check ICD-10-PCS Principal or Other Procedure Codes.
5. Check ICD-10-PCS Principal or Other Procedure Codes
  1. If at least one of the ICD-10-PCS Principal or Other Procedure Codes is on Table 11.05, the case will proceed to step 10 check Labor.
  2. If all ICD-10-PCS Principal or Other Procedure Codes are missing or none of them on Table 11.05, continue processing and proceed to check ICD-10-PCS Principal or Other Procedure Codes
6. Check ICD-10-PCS Principal or Other Procedure Codes
  1. If at least one of the ICD-10-PCS Principal or Other Procedure Codes is on Table 11.06 , the case will proceed to step 7 check Labor.
  2. If all ICD-10-PCS Principal or Other Procedure Codes are missing or none of them on Table 11.06, the case will proceed to a Measure Category Assignment of D and will be in the population. Stop processing.
7. Check Labor
  1. If Labor is missing, the case will proceed to a Measure Category Assignment of X and will be rejected. Stop processing.
  2. If Labor equals Y, the case will proceed to a Measure Category Assignment of D and will be in the population. Stop processing.
  3. If Labor equals N, continue processing and proceed to check Prior Uterine Surgery.
8. Check Prior Uterine Surgery
  1. If Prior Uterine Surgery is missing, the case will proceed to a Measure Category Assignment of X and will be rejected. Stop processing.
  2. If Prior Uterine Surgery equals Y, the case will proceed to a Measure Category Assignment of D and will be in the population. Stop processing.
  3. If Prior Uterine Surgery equals N, continue processing and proceed to check History of Stillbirth.
9. Check History of Stillbirth
  1. If History of Stillbirth is missing, the case will proceed to a Measure Category Assignment of X and will be rejected. Stop processing.
  2. If History of Stillbirth equals Y, the case will proceed to a Measure Category Assignment of B and will not be in the Measure Population. Stop processing.
  3. If Prior Uterine Surgery equals N, the case will proceed to a Measure Category Assignment of E and will be in the numerator population.
10. Check Labor
  1. If Labor is missing, the case will proceed to a Measure Category Assignment of X and will be rejected. Stop processing.
  2. If Labor equals Y, the case will proceed to a Measure Category Assignment of D and will be in the population. Stop processing.
  3. If Labor equals N, continue processing and proceed to check History of Stillbirth.
11. Check History of Stillbirth
  1. If History of Stillbirth is missing, the case will proceed to a Measure Category Assignment of X and will be rejected. Stop processing.
  2. If History of Stillbirth equals Y, the case will proceed to a Measure Category Assignment of B and will not be in the Measure Population. Stop processing.
  3. If Prior Uterine Surgery equals N, the case will proceed to a Measure Category Assignment of E and will be in the numerator population.

Measure Information Form PC-01
CPT® only copyright 2025 American Medical Association. All rights reserved.
Specifications Manual for Joint Commission National Quality Measures (v2026A1)
Discharges 01-01-2026 (1Q26) through 06-30-2026 (2Q26)

LICENSE FOR USE OF CURRENT PROCEDURAL TERMINOLOGY, FOURTH EDITION (“CPT®”)

CPT® only copyright 2025 American Medical Association. All rights reserved. CPT® is a registered trademark of the American Medical Association.

You, your employees and agents are authorized to use CPT® only as contained in The Joint Commission performance measures solely for your own personal use in directly participating in healthcare programs administered by The Joint Commission. You acknowledge that the American Medical Association (“AMA”) holds all copyright, trademark and other rights in CPT®.

Any use not authorized herein is prohibited, including by way of illustration and not by way of limitation, making copies of CPT® for resale and/or license, transferring copies of CPT® to any party not bound by this Agreement, creating any modified or derivative work of CPT®, or making any commercial use of CPT®. License to use CPT® for any use not authorized herein must be obtained through the American Medical Association, Intellectual Property Services, AMA Plaza, 330 North Wabash Avenue, Suite 39300, Chicago, Illinois 60611-5885. Applications are available at the American Medical Association Web site, www.ama- assn.org/go/cpt.

U.S. Government Rights This product includes CPT® which is commercial technical data, which was developed exclusively at private expense by the American Medical Association, 330 North Wabash Avenue, Chicago, Illinois 60611. The American Medical Association does not agree to license CPT® to the Federal Government based on the license in FAR 52.227-14 (Data Rights - General) and DFARS 252.227-7015 (Technical Data - Commercial Items) or any other license provision. The American Medical Association reserves all rights to approve any license with any Federal agency.

Disclaimer of Warranties and Liabilities. CPT® is provided “as is” without warranty of any kind, either expressed or implied, including but not limited to the implied warranties of merchantability and fitness for a particular purpose. Fee schedules, relative value units, conversion factors and/or related components are not assigned by the AMA, are not part of CPT®, and the (AMA is not recommending their use. The AMA does not directly or indirectly practice medicine or dispense medical services. The responsibility for the content of this product is with The Joint Commission, and no endorsement by the AMA is intended or implied. The AMA disclaims responsibility for any consequences or liability attributable to or related to any use, non-use, or interpretation of information contained or not contained in this product.

This Agreement will terminate upon notice if you violate its terms. The AMA is a third party beneficiary to this Agreement.

Should the foregoing terms and conditions be acceptable to you, please indicate your agreement and acceptance by clicking below on the button labeled “accept”.

^